Icon Créer jeu Créer jeu

Complex Numbers

Test

Quiz about basic complex numbers

Téléchargez la version pour jouer sur papier

Âge recommandé: 15 ans
1 fois fait

Créé par

Malaysia

Top 10 résultats

Il n'y a toujours pas de résultats pour ce jeu. Soyez le premier à apparaître dans le classement! pour vous identifier.
Créez votre propre jeu gratuite à partir de notre créateur de jeu
Affrontez vos amis pour voir qui obtient le meilleur score dans ce jeu

Top Jeux

  1. temps
    but
  1. temps
    but
temps
but
temps
but
 
game-icon

Complex NumbersVersion en ligne

Quiz about basic complex numbers

par JPPKK MOHAMAD ALI
1

Magnitud untuk z adalah: (Magnitude of z are:)

2

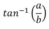
Argumen z adalah: (Argument of z are:)

3

4

5

Konjugat untuk: (Conjugate for:)

Choose one or more answers

6

7

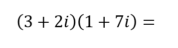
Selesaikan persamaan ini: (Solve this equation:)

8

9

10

educaplay suscripción