Icon Créer jeu Créer jeu

Suma y resta de matrices

Froggy Jumps

Realiza 10 ejercicios de suma y resta de matrices

Téléchargez la version pour jouer sur papier

78 fois fait

Créé par

Ecuador

Top 10 résultats

Il n'y a toujours pas de résultats pour ce jeu. Soyez le premier à apparaître dans le classement! pour vous identifier.
Créez votre propre jeu gratuite à partir de notre créateur de jeu
Affrontez vos amis pour voir qui obtient le meilleur score dans ce jeu

Top Jeux

  1. temps
    but
  1. temps
    but
temps
but
temps
but
 
game-icon

Froggy Jumps

Suma y resta de matricesVersion en ligne

Realiza 10 ejercicios de suma y resta de matrices

par Sayti Chalán
1

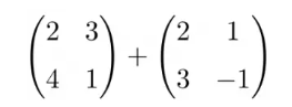
¿Cuál es la suma de las siguientes matrices?

2

Encuentra la resta A-B de las siguientes matrices.

3

Determina el resultado de la resta A-B.

4

¿Cuál es el resultado de restar (A-B) las siguientes matrices?

5

Determina la suma de A+B de las siguiente matriz.

6

Determina la suma de A+B de las siguiente matriz.

7

Determina la resta de A-B de las siguiente matriz.

8

Determina la suma de A+B de las siguiente matriz.

9

Realiza la siguiente resta de matrices

10

Halla el resultado de la siguiente suma matricial de dimensión 3×3

educaplay suscripción