Icon Créer jeu Créer jeu

Demostración Existencia de elementos inversos para la multiplicación

Relier Colonnes

En esta actividad se debe relacionar dos columnas, la columna de la derecha representa la razón, y la de la izquierda la afirmación, se dará el orden correcto de la demostración relacionando el paso 1 con el a; el 2 con el b etc. (Siendo el número la afirmación y la letra la razón)

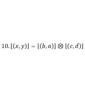
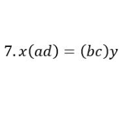
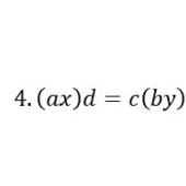
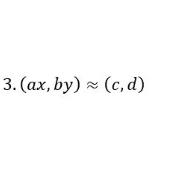
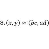
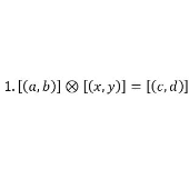
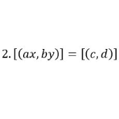
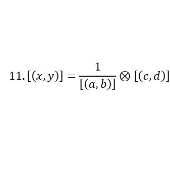
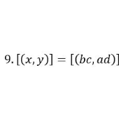
SE PARTE DE LA EXPRESIÓN: [(a,b)]⊗[(x,y)]=[(c,d)] Y se pretende llegar a: [(x,y)]=1/[(a,b)] ⊗[(c,d)]

Téléchargez la version pour jouer sur papier

1 fois fait

Créé par

Colombia

Top 10 résultats

  1. 1
    02:17
    temps
    100
    but
Voulez-vous apparaître dans le Top 10 de ce jeu? pour vous identifier.
Créez votre propre jeu gratuite à partir de notre créateur de jeu
Affrontez vos amis pour voir qui obtient le meilleur score dans ce jeu

Top Jeux

  1. temps
    but
  1. temps
    but
temps
but
temps
but
 
game-icon

Relier Pairs

Demostración Existencia de elementos inversos para la multiplicaciónVersion en ligne

En esta actividad se debe relacionar dos columnas, la columna de la derecha representa la razón, y la de la izquierda la afirmación, se dará el orden correcto de la demostración relacionando el paso 1 con el a; el 2 con el b etc. (Siendo el número la afirmación y la letra la razón) SE PARTE DE LA EXPRESIÓN: [(a,b)]⊗[(x,y)]=[(c,d)] Y se pretende llegar a: [(x,y)]=1/[(a,b)] ⊗[(c,d)]

par Julián Ceballos