Icon Créer jeu Créer jeu

limites

Test

(1)
clase del 21 al 28

Téléchargez la version pour jouer sur papier

Âge recommandé: 15 ans
4 fois fait

Créé par

Colombia

Top 10 résultats

  1. 1
    08:25
    temps
    30
    but
  2. 2
    00:29
    temps
    20
    but
  3. 3
    01:50
    temps
    0
    but
Voulez-vous apparaître dans le Top 10 de ce jeu? pour vous identifier.
Créez votre propre jeu gratuite à partir de notre créateur de jeu
Affrontez vos amis pour voir qui obtient le meilleur score dans ce jeu

Top Jeux

  1. temps
    but
  1. temps
    but
temps
but
temps
but
 
game-icon

limites Version en ligne

clase del 21 al 28

par Alejandro Herrera Sanchez
1

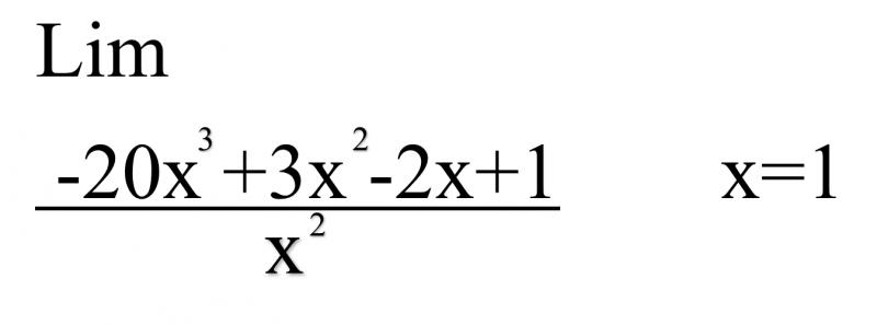
¿cual es el resultado correcto?

2

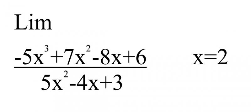
¿cual es el resultado correcto?

3

¿cual es el resultado correcto?

4

¿cual es el resultado correcto?

5

¿cual es el resultado correcto?

6

¿cual es el resultado correcto?

7

¿cual es el resultado correcto?

8

¿cual es el resultado correcto?

9

¿cual es el resultado correcto?

10

¿cual es el resultado correcto?