Icon Créer jeu Créer jeu

Sistema de ecuaciones Parte 4.

Test

Esta es la ultima fase tu puedes y ahora demostraras que eres un alumno supérate vamos tu puedes.

Téléchargez la version pour jouer sur papier

Âge recommandé: 14 ans
2 fois fait

Créé par

El Salvador

Top 10 résultats

Il n'y a toujours pas de résultats pour ce jeu. Soyez le premier à apparaître dans le classement! pour vous identifier.
Créez votre propre jeu gratuite à partir de notre créateur de jeu
Affrontez vos amis pour voir qui obtient le meilleur score dans ce jeu

Top Jeux

  1. temps
    but
  1. temps
    but
temps
but
temps
but
 
game-icon

Sistema de ecuaciones Parte 4.Version en ligne

Esta es la ultima fase tu puedes y ahora demostraras que eres un alumno supérate vamos tu puedes.

par Fernanda Medrano
1

En que consiste el método de igualación

2

Pasos que se deben seguir para el método de igualación

3

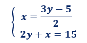
El proceso es correcto:

4

Cual es la respuesta correcta: "Solo la respuesta y va a dividir la respuesta así Ej: x=4, y=-7 "

Respuesta escrita

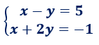
5

Cual es la respuesta correcta de la siguiente ecuación? siempre con la indicación anterior separar con un ","

Explicación

vamos fase final

vamos tu puedes

vamos fase final

Tu puedes

educaplay suscripción