Icon Créer jeu Créer jeu

Productos Notables

Relier Colonnes

(1)
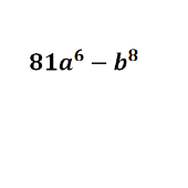
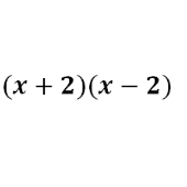
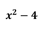
suma diferencia
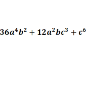
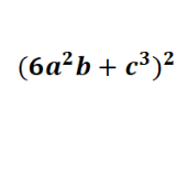
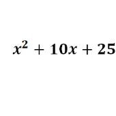
Cuadrado binomio

Téléchargez la version pour jouer sur papier

Âge recommandé: 14 ans
24 fois fait

Créé par

Chile

Top 10 résultats

  1. 1
    00:28
    temps
    50
    but
  2. 2
    01:00
    temps
    50
    but
Voulez-vous apparaître dans le Top 10 de ce jeu? pour vous identifier.
Créez votre propre jeu gratuite à partir de notre créateur de jeu
Affrontez vos amis pour voir qui obtient le meilleur score dans ce jeu

Top Jeux

  1. temps
    but
  1. temps
    but
temps
but
temps
but