Icon Créer jeu Créer jeu

Lentes convergentes y divergen

Test

(10)
Un lente es un elemento óptico transparente, fabricado con vidrio, cristal o plástico, que refracta la luz para formar una imagen

Téléchargez la version pour jouer sur papier

164 fois fait

Créé par

Colombia

Top 10 résultats

  1. 1
    00:55
    temps
    83
    but
  2. 2
    01:20
    temps
    83
    but
  3. 3
    Hansell Isaac cano barquero
    Hansell Isaac cano barquero
    00:33
    temps
    66
    but
  4. 4
    Hamilton Jasmil Espinoza Fitoria
    Hamilton Jasmil Espinoza Fitoria
    02:27
    temps
    66
    but
  5. 5
    Dellion castillo
    Dellion castillo
    09:00
    temps
    66
    but
  6. 6
    Jemimah Reyes
    Jemimah Reyes
    00:49
    temps
    50
    but
  7. 7
    Nathaly  Romero
    Nathaly Romero
    01:01
    temps
    50
    but
  8. 8
    DannyDavid
    DannyDavid
    03:34
    temps
    50
    but
  9. 9
    00:45
    temps
    33
    but
  10. 10
    00:49
    temps
    33
    but
Voulez-vous apparaître dans le Top 10 de ce jeu? pour vous identifier.
Créez votre propre jeu gratuite à partir de notre créateur de jeu
Affrontez vos amis pour voir qui obtient le meilleur score dans ce jeu

Top Jeux

  1. temps
    but
  1. temps
    but
temps
but
temps
but
 
game-icon

Lentes convergentes y divergenVersion en ligne

Un lente es un elemento óptico transparente, fabricado con vidrio, cristal o plástico, que refracta la luz para formar una imagen

par Daniela Artunduaga Polania
1

¿Que tipo de lentes se visualizan a continuación?]

2

¿Qué nombre reciben estos lentes?

Respuesta escrita

3

¿Con que tipo de lente se forma esta imagen?

4

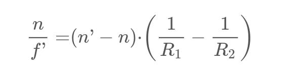
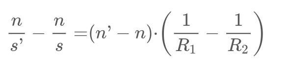
Delante de un lente delgado biconvexo de radios 7cm y 5cm respectivamente y con índice de refracción n = 1.4 se sitúa un objeto de 2.2 cm de altura. La distancia de la lente al objeto es de 18 cm. ¿Que ecuaciones se utilizarian para determinar la distancia focal del lente?

5

María es incapaz de distinguir con claridad los objetos situados más allá de 27 cm. ¿Qué tipo de lentes correctoras debería emplear?

Respuesta escrita

6

Si cuentas con una lupa cuya distancia focal es de 5 cm, ¿a que distancia de la misma tienes que situar un pequeño texto para poder observarlo a un tamaño 3 veces mayor?¿Cuál es el poder amplificador de la lupa?

Explicación

11111

11111

111111

11111

1111111111111111

educaplay suscripción