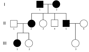
Indicador 2.2 MutacionesVersion en ligne Contestar las preguntas de árbol genealógico,mutaciones y proyecto genoma humano. par GUINNET PAOLA FUQUENE BUSTOS 1 En la cuarta generación ¿cuantas hijas de la pareja 3 y 4 (de la tercer generación) están afectadas? a 1 b 2 c 3 d 5 2 según el árbol genealógico en la segunda generación ¿cuántos hombres son sanos ? a 2 b 1 c 0 d 3 3 ¿cuántas generaciones hay en la imagen? y ¿cuántas mujeres hay entre la segunda y tercer generación? a 2 y 4 b 3 y 7 c 3 y 6 d 2 y 6 4 Según la imagen ¿cuál respuesta No es correcta para los objetivos del proyecto genoma humano? a Identificay determinar la secuencia de genes b Desarrollar y dirigir avances legales éticos c Determinar y desarrollar con tecnologías lentas de secuenciación d Acumular información en base de datos 5 ¿Qué significan las siguientes siglas? a Instituto Nacional de Busqueda en el Genoma Humano b Instituto Nacional del genoma humano c Instituto Nacional de salud del Genoma Humano d Instituto Nacional de Investigación del Genoma Humano 6 Según la imagen en la segunda generación cuantas mujeres y hombres están afectados? a 3 y 2 b 5 y 4 c 2 y 3 d 1 y 3 7 según la cadena ADN ¿Qué tipo de mutación es? a inversión b traslocación c delección d sustitución 8 según la cadena ADN ¿Qué tipo de mutación es? a inversión b traslocación c sustitución d inserción 9 según la cadena ADN ¿Qué tipo de mutación es? a sustitución b inserción c delección d reseción 10 según la cadena ADN ¿Qué tipo de mutación es? a reversión b inversión c traslocación d sustitución 11 Según la imagen el orden de las 4 cadenas sobre el tipo de mutación son: a insercion-traslocación-delección-sustitución b insercion-traslocación-delección-sustitución c insercion-delección-sustitución-inversión d sustitución-insercion-traslocación-delección 12 Este hombre tiene el síndrome de edwards? a cierto b falso 13 Según la imagen ¡Qué tipo de mutación es? a duplicación b transversión c inversión d traslocación 14 la imagen muestra el cariotipo de síndrome de turner a verdadero b falso 15 según el cariotipo ¿Que síndrome es? a síndrome patau b síndrome de down c síndrome de edwards d síndrome de turner Explicación 1 Revisa muy bien las reglas de arboles genealógicos 2 Revisa muy bien las reglas de arboles genealógicos 3 Revisa muy bien las reglas de arboles genealógicos 4 Revisar proyecto genoma humano 5 Revisar proyecto genoma humano 6 Revisa muy bien las reglas de arboles genealógicos 7 Revisar los tipos de mutaciones 8 Revisar los tipos de mutaciones 9 Revisar los tipos de mutaciones 10 Revisar los tipos de mutaciones 11 Revisar los tipos de mutaciones 12 Revisar los tipos de mutaciones 13 Revisar los tipos de mutaciones 14 Revisar los tipos de mutaciones 15 Revisar los tipos de mutaciones