Icon Créer jeu Créer jeu

Sistemas de ecuaciones

Test

(7)
Resolver sistemas de ecuaciones por sustitución

Téléchargez la version pour jouer sur papier

Âge recommandé: 14 ans
51 fois fait

Créé par

Spain

Top 10 résultats

  1. 1
    03:48
    temps
    50
    but
  2. 2
    verotxu
    verotxu
    07:58
    temps
    25
    but
  3. 3
    adala
    adala
    16:40
    temps
    25
    but
  4. 4
    00:11
    temps
    0
    but
  5. 5
    00:13
    temps
    0
    but
  6. 6
    00:40
    temps
    0
    but
  7. 7
    06:06
    temps
    0
    but
  8. 8
    07:47
    temps
    0
    but
Voulez-vous apparaître dans le Top 10 de ce jeu? pour vous identifier.
Créez votre propre jeu gratuite à partir de notre créateur de jeu
Affrontez vos amis pour voir qui obtient le meilleur score dans ce jeu

Top Jeux

  1. temps
    but
  1. temps
    but
temps
but
temps
but
 
game-icon

Sistemas de ecuacionesVersion en ligne

Resolver sistemas de ecuaciones por sustitución

par SONIA Delgado
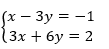
1

Resuelve el siguiente sistema

Respuesta escrita

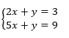
2

Resuelve el siguiente sistema

Respuesta escrita

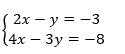
3

Resuelve el siguiente sistema

Respuesta escrita

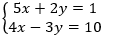
4

Resuelve el siguiente sistema

Respuesta escrita