Créer jeu
Obtenir Plan Académique

ÁLGEBRA LINEAL: TRANSFORMACIONES LINEALES

Présentation

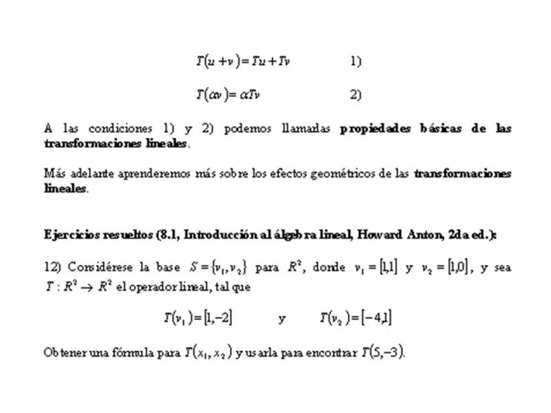
En esta unidad temática estudiaremos funciones de la forma w=F(X), donde la variable independiente X es un vector en R**n y la variable dependiente w el vector R**m. Es una clase especial de estas funciones llamadas Transfromaciones Lineales. Recordemos que función se define como: Regla de correspondencia que f que asocia a cada elemento de un conjunto A, uno y solo uno del conjunto B. Si f asocia al elemento b con el elemento a, se escribe b=f(a) y se dice que b es la imagen de a bajo f. o que b está en función de a. El conjunto A se denomina Dominio y al conjunto B Contradominio (Imagen)
Si el dominio de una función f es R**n y el contradominio es R**m ( m y n pueden ser iguales), entoences f se denomina, transformación de R**n a R**m, que se denota: f: R**n flecha R**m.
Para el caso especial de m = n, la transfromación se llama operador sobre R**n.
Si esta transformación se denota por T, entonces T: R**n flecha R**m y

T(X1, X2, X3, ...Xn)=(W1,W2,W3,...,Wm), expresado en forma vectorial T(V)=W.

Téléchargez la version pour jouer sur papier

16 fois fait

Créé par

Mexico

Top 10 résultats

  1. 1
    00:44
    temps
    100
    but
  2. 2
    01:55
    temps
    100
    but
  3. 3
    02:59
    temps
    100
    but
Voulez-vous apparaître dans le Top 10 de ce jeu? pour vous identifier.
Créez votre propre jeu gratuite à partir de notre créateur de jeu
Affrontez vos amis pour voir qui obtient le meilleur score dans ce jeu

Top Jeux

  1. temps
    but
  1. temps
    but
temps
but
temps
but
 
game-icon

ÁLGEBRA LINEAL: TRANSFORMACIONES LINEALESVersion en ligne

En esta unidad temática estudiaremos funciones de la forma w=F(X), donde la variable independiente X es un vector en R**n y la variable dependiente w el vector R**m. Es una clase especial de estas funciones llamadas Transfromaciones Lineales. Recordemos que función se define como: Regla de correspondencia que f que asocia a cada elemento de un conjunto A, uno y solo uno del conjunto B. Si f asocia al elemento b con el elemento a, se escribe b=f(a) y se dice que b es la imagen de a bajo f. o que b está en función de a. El conjunto A se denomina Dominio y al conjunto B Contradominio (Imagen) Si el dominio de una función f es R**n y el contradominio es R**m ( m y n pueden ser iguales), entoences f se denomina, transformación de R**n a R**m, que se denota: f: R**n flecha R**m. Para el caso especial de m = n, la transfromación se llama operador sobre R**n. Si esta transformación se denota por T, entonces T: R**n flecha R**m y T(X1, X2, X3, ...Xn)=(W1,W2,W3,...,Wm), expresado en forma vectorial T(V)=W.

par Manuel Jesus
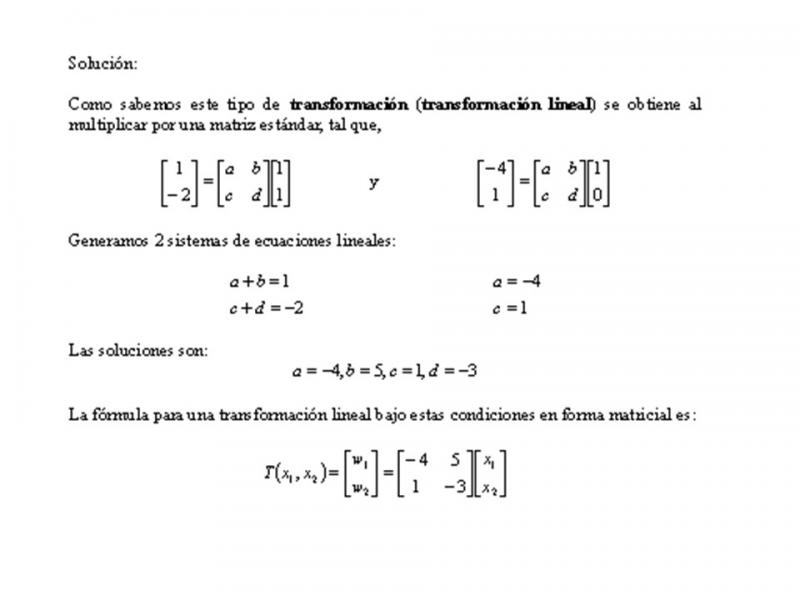
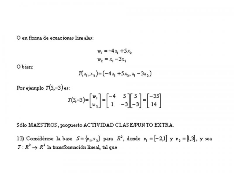
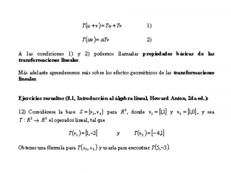
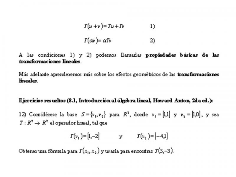
1

Transfromaciones lineales y matrices

2

Transfromaciones lineales y matrices

3

Transfromaciones lineales y matrices

4

Transfromaciones lineales y matrices

5

Transfromaciones lineales y matrices

6

Transfromaciones lineales y matrices

7

Transfromaciones lineales y matrices

8

Transfromaciones lineales y matrices

9

Transfromaciones lineales y matrices

10

Transfromaciones lineales y matrices

11

Transfromaciones lineales y matrices