Icon Créer jeu Créer jeu

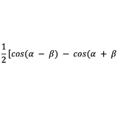
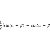
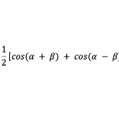
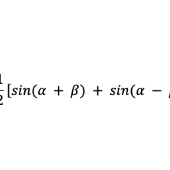
Omgekeerde formules v Simpson

Relier Colonnes

Omgekeerde formules v Simpson

Téléchargez la version pour jouer sur papier

3 fois fait

Créé par

Belgium

Top 10 résultats

  1. 1
    00:57
    temps
    100
    but
  2. 2
    00:57
    temps
    0
    but
Voulez-vous apparaître dans le Top 10 de ce jeu? pour vous identifier.
Créez votre propre jeu gratuite à partir de notre créateur de jeu
Affrontez vos amis pour voir qui obtient le meilleur score dans ce jeu

Top Jeux

  1. temps
    but
  1. temps
    but
temps
but
temps
but