Icon Créer jeu Créer jeu

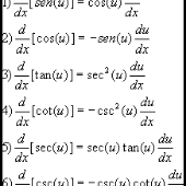
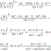
derivadas

Relier Colonnes

relacione las imagenes

Téléchargez la version pour jouer sur papier

Âge recommandé: 15 ans
44 fois fait

Créé par

Colombia

Top 10 résultats

  1. 1
    00:16
    temps
    0
    but
  2. 2
    00:18
    temps
    0
    but
  3. 3
    01:37
    temps
    0
    but
Voulez-vous apparaître dans le Top 10 de ce jeu? pour vous identifier.
Créez votre propre jeu gratuite à partir de notre créateur de jeu
Affrontez vos amis pour voir qui obtient le meilleur score dans ce jeu

Top Jeux

  1. temps
    but
  1. temps
    but
temps
but
temps
but