Icon Créer jeu Créer jeu

Algebraicas y Trascendentes

Relier Colonnes

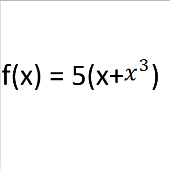
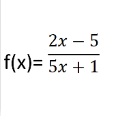
Relaciona la función dependiendo si es trascendentes o algebraicas.

Téléchargez la version pour jouer sur papier

Âge recommandé: 16 ans
78 fois fait

Créé par

Mexico

Top 10 résultats

  1. 1
    00:15
    temps
    0
    but
  2. 2
    01:12
    temps
    0
    but
  3. 3
    02:30
    temps
    0
    but
Voulez-vous apparaître dans le Top 10 de ce jeu? pour vous identifier.
Créez votre propre jeu gratuite à partir de notre créateur de jeu
Affrontez vos amis pour voir qui obtient le meilleur score dans ce jeu

Top Jeux

  1. temps
    but
  1. temps
    but
temps
but
temps
but
 
game-icon

Relier Pairs

Algebraicas y Trascendentes Version en ligne

Relaciona la función dependiendo si es trascendentes o algebraicas.

par Guillermina Martínez Islas