Icon Créer jeu Créer jeu

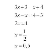
Operaciones matemáticas

Relier Colonnes

(1)
Las matemáticas o la matemática es una ciencia formal que, partiendo de axiomas y siguiendo el razonamiento lógico, estudia las propiedades y relaciones entre entidades abstractas como números, figuras geométricas o símbolos.

Téléchargez la version pour jouer sur papier

Âge recommandé: 10 ans
14 fois fait

Créé par

Mexico

Top 10 résultats

  1. 1
    00:09
    temps
    100
    but
  2. 2
    00:11
    temps
    0
    but
  3. 3
    00:11
    temps
    0
    but
Voulez-vous apparaître dans le Top 10 de ce jeu? pour vous identifier.
Créez votre propre jeu gratuite à partir de notre créateur de jeu
Affrontez vos amis pour voir qui obtient le meilleur score dans ce jeu

Top Jeux

  1. temps
    but
  1. temps
    but
temps
but
temps
but
 
game-icon

Relier Pairs

Operaciones matemáticas Version en ligne

Las matemáticas o la matemática es una ciencia formal que, partiendo de axiomas y siguiendo el razonamiento lógico, estudia las propiedades y relaciones entre entidades abstractas como números, figuras geométricas o símbolos.

par marisol villa ramirez