Icon Créer jeu Créer jeu

Actividad limites

Test

Observa, lee y responde.

Téléchargez la version pour jouer sur papier

Âge recommandé: 15 ans
2 fois fait

Créé par

Colombia
Ce jeu est une version de

Top 10 résultats

  1. 1
    02:25
    temps
    90
    but
Voulez-vous apparaître dans le Top 10 de ce jeu? pour vous identifier.
Créez votre propre jeu gratuite à partir de notre créateur de jeu
Affrontez vos amis pour voir qui obtient le meilleur score dans ce jeu

Top Jeux

  1. temps
    but
  1. temps
    but
temps
but
temps
but
 
game-icon

Actividad limitesVersion en ligne

Observa, lee y responde.

par JAIDER BRAYAN OVEJERO SEGUA
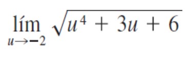
1

Al evaluar el Límite, el resultado es.

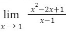
2

Al evaluar el Límite, el resultado es.

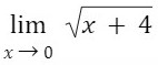
3

Al evaluar el Límite, el resultado es.

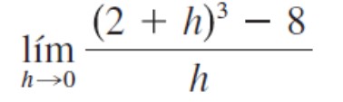
4

Al evaluar el Límite, el resultado es.

5

Al evaluar el Límite, el resultado es.

6

Al evaluar el Límite, el resultado es.

7

Al evaluar el Límite, el resultado es.

8

Al evaluar el Límite, el resultado es.

9

Al evaluar el Límite, el resultado es.

10

Al evaluar el Límite, el resultado es.

Explicación

5(-2)²-(-2)+1 = 5(4)+2+1 = 20+2+1 = 23

Revise el video https://www.youtube.com/watch?v=vD6Hu4NbmBc

Si hay una Indeterminación al evaluar el Límite (0/0), se debe: operar, factorizar o racionalizar para evitar la indeterminación.

Si hay una Indeterminación al evaluar el Límite (0/0), se debe: operar, factorizar o racionalizar para evitar la indeterminación.

Si hay una Indeterminación al evaluar el Límite (0/0), se debe: operar, factorizar o racionalizar para evitar la indeterminación.

Revise el video https://www.youtube.com/watch?v=0XxjdRY8SnY