Icon Créer jeu Créer jeu

LEYES DE LOS EXPONENTES

Test

(33)
IDENTIFICAR LAS LEYES DE LOS EXPONENTES

Téléchargez la version pour jouer sur papier

Âge recommandé: 14 ans
3279 fois fait

Créé par

Mexico

Top 10 résultats

  1. 1
    00:18
    temps
    100
    but
  2. 2
    00:21
    temps
    100
    but
  3. 3
    00:24
    temps
    100
    but
  4. 4
    00:25
    temps
    100
    but
  5. 5
    00:29
    temps
    100
    but
  6. 6
    00:29
    temps
    100
    but
  7. 7
    00:30
    temps
    100
    but
  8. 8
    00:34
    temps
    100
    but
  9. 9
    Iris Guadalupe Avila Anzo
    Iris Guadalupe Avila Anzo
    00:34
    temps
    100
    but
  10. 10
    REyes villamar
    REyes villamar
    00:34
    temps
    100
    but
Voulez-vous apparaître dans le Top 10 de ce jeu? pour vous identifier.
Créez votre propre jeu gratuite à partir de notre créateur de jeu
Affrontez vos amis pour voir qui obtient le meilleur score dans ce jeu

Top Jeux

  1. temps
    but
  1. temps
    but
temps
but
temps
but
 
game-icon

LEYES DE LOS EXPONENTESVersion en ligne

IDENTIFICAR LAS LEYES DE LOS EXPONENTES

par María Teresita Siller Romero
1

LEY DE LA POTENCIA

2

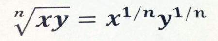
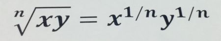
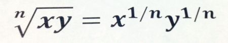
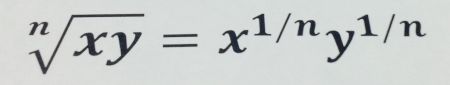
LEY DE LOS RADICALES

3

LEY DEL EXPONENTE NULO

4

LEY DEL COCIENTE

5

LEY DEL PRODUCTO

6

LEY DEL EXPONENTE FRACCIONARIO

7

LEY DEL EXPONENTE NEGATIVO

8

LEYES DE LOS EXPONENTES POSITIVOS