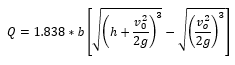
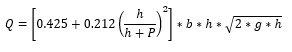
Froggy Jumps DISEÑO HIDRÁULICOVersion en ligne Conceptos básicos de diseño hidráulico. par Kleber Echeverria 1 Cual es la clasificación de los orificios? a Orificio ancho y delgado. b Pared delgada y pared gruesa. c Orificio tubular y cuadrado. 2 A partir de que numero de Reynolds se considera flujo turbulento? a =100^5 b <10^3 c >10^5 3 Que es una compuerta? a Es una placa móvil plana o curva, que permite controlar una descarga. b Es una placa fija que permite controlar una descarga. c Es una estructura hidráulica hueca que permite medir el caudal. 4 Para que sirve un vertedero? a Permite elevar y controlar la corriente aguas arriba de la estructura. b Impide el paso de impureza aguas abajo de la estructura. c Genera resalto hidráulico. 5 Elija la imagen que contiene la formula general de orificios de pared delgada. a b c 6 Cuando un vertedero se considera de pared delgada? a espesor/altura>0.87 b espesor/altura=0.5 c espesor/altura<0.67 7 Cuando un vertedero se considera de pared gruesa? a espesor/altura<0.5 b espesor/altura>=0.67 c espesor/altura>0.37 8 De las siguientes imágenes, elija el vertedero tipo Creager. a b c 9 Cual de las siguientes es una de la hipótesis que permite deducir el caudal de flujo en vertederos de pared delgada? a Aguas arriba del vertedero el flujo no es uniforme. b La presión no varia linealmente con la profundidad. c Los efectos debidos a la viscosidad y tensión superficial del liquido son despreciables. 10 En que sección de un orificio las velocidades son uniformes y tienen un valor medio? a En la sección media. b En la sección aguas abajo. c En la sección contraída. 11 Cuando la descarga del líquido se efectúa por encima de un muro o una placa y a superficie libre, la estructura hidráulica en la que ocurre se llama compuerta. a VERDADERO b FALSO c Ninguna de las anteriores. 12 Para calcular el caudal en vertederos rectangulares sin contracciones laterales en un rango de 0.2 ≤ h ≤ 0.3, que ecuación se debe utilizar? a b c